Learn Kardar Statistical Physics Of Particles Solutions - Latest Update
See kardar statistical physics of particles solutions. The areas of the involved surfaces are Aws R sin 2 and Aaw 2R2 1 cos . 19statistical physics of particles Solution manual by Mehran Kardar 0308 Physics Science Get a copy of statistical physics of particles Solution manual by Mehran Kardar Download link. Statistical physics of particles Solution manual. Read also physics and kardar statistical physics of particles solutions Statistical physics has its origins in attempts to describe the thermal properties of matter in terms of its constituent particles and has played a fundamental role in the development of quantum mechanics.
6Statistical Physics of Particles solutions Mehran Kardar Please DO NOT REQUEST HERE instead send an email with the title you need to download. 25Statistical Physics of Particles Statistical physics has its origins in attempts to describe the thermal properties of matter in terms of its constituent particles and has played a fundamental roleinthedevelopmentofquantummechanicsItdescribeshownewbehavior emerges from interactions of many degrees of freedom and as such has found.

Statistical Mechanics An Introductory Graduate Course Graduate Texts In Physics Berlinsky A J Harris A B Quantum Theory Let us consider a small change in shape accompanied by changes in R and .
| Topic: Basic principles are examined in this class such as the laws of thermodynamics and the concepts of temperature work heat and entropy. Statistical Mechanics An Introductory Graduate Course Graduate Texts In Physics Berlinsky A J Harris A B Quantum Theory Kardar Statistical Physics Of Particles Solutions |
| Content: Solution |
| File Format: Google Sheet |
| File size: 3mb |
| Number of Pages: 35+ pages |
| Publication Date: February 2019 |
| Open Statistical Mechanics An Introductory Graduate Course Graduate Texts In Physics Berlinsky A J Harris A B Quantum Theory |
25Based on lectures taught by Professor Kardar at MIT this textbook introduces the central concepts and tools of statistical physics.
MIT 8333 Statistical Mechanics I. Consider a droplet which is part of a sphere of radius R which is cut by the substrate at an angle . Problems Solutions for Statistical Physics of Particles Updated July 2008 by Mehran Kardar Department of Physics Ma. Download Full PDF Package. At Cambridge and gained his PhD. Based on lectures taught by Professor Kardar at MIT this textbook introduces the central concepts and tools of statistical physics.

Statistical Physics Of Particles Kardar Mehran Ebook Markrainsun gmail dot com NOTE.
| Topic: Statistical physics of parti. Statistical Physics Of Particles Kardar Mehran Ebook Kardar Statistical Physics Of Particles Solutions |
| Content: Analysis |
| File Format: PDF |
| File size: 5mb |
| Number of Pages: 35+ pages |
| Publication Date: November 2021 |
| Open Statistical Physics Of Particles Kardar Mehran Ebook |

Statistical Physics Fields Statistical Physics Work Science And Plex Systems Cambridge University Press MediaFire or go to httpstmePhysicsDirectory36 You can Find the Original book in here How to Download.
| Topic: Saw Proof of dAws cos dAaw. Statistical Physics Fields Statistical Physics Work Science And Plex Systems Cambridge University Press Kardar Statistical Physics Of Particles Solutions |
| Content: Summary |
| File Format: Google Sheet |
| File size: 6mb |
| Number of Pages: 40+ pages |
| Publication Date: January 2019 |
| Open Statistical Physics Fields Statistical Physics Work Science And Plex Systems Cambridge University Press |

Mehran Kardar Statistical Physics Of Particals Sulution Manual Docsity He received his BA.
| Topic: Statistical Physics of Particles is the welcome result of an innovative and popular graduate course Kardar has been teaching at MIT for almost twenty years. Mehran Kardar Statistical Physics Of Particals Sulution Manual Docsity Kardar Statistical Physics Of Particles Solutions |
| Content: Answer |
| File Format: PDF |
| File size: 725kb |
| Number of Pages: 10+ pages |
| Publication Date: March 2020 |
| Open Mehran Kardar Statistical Physics Of Particals Sulution Manual Docsity |

In Buy Bo Of Mehran Kardar S Statistical Physics Of Fields Particles Book Online At Low Prices In India Bo Of Mehran Kardar S Statistical Physics Of Fields Particles Reviews Statistics for Business and Economics 9 ED by Anderson Sweeney SOLUTIONS MANUAL.
| Topic: Statistical Mechanics of Particles Fall 2013 - YouTube. In Buy Bo Of Mehran Kardar S Statistical Physics Of Fields Particles Book Online At Low Prices In India Bo Of Mehran Kardar S Statistical Physics Of Fields Particles Reviews Kardar Statistical Physics Of Particles Solutions |
| Content: Explanation |
| File Format: PDF |
| File size: 1.8mb |
| Number of Pages: 40+ pages |
| Publication Date: June 2018 |
| Open In Buy Bo Of Mehran Kardar S Statistical Physics Of Fields Particles Book Online At Low Prices In India Bo Of Mehran Kardar S Statistical Physics Of Fields Particles Reviews |

Statistical Physics Particles Statistical Physics Work Science And Plex Systems Cambridge University Press At Cambridge and gained his PhD.
| Topic: Download Full PDF Package. Statistical Physics Particles Statistical Physics Work Science And Plex Systems Cambridge University Press Kardar Statistical Physics Of Particles Solutions |
| Content: Solution |
| File Format: PDF |
| File size: 2.8mb |
| Number of Pages: 29+ pages |
| Publication Date: January 2021 |
| Open Statistical Physics Particles Statistical Physics Work Science And Plex Systems Cambridge University Press |
![]()
Introduction To Statistical Mechanics Solutions To Problems Ebook John Dirk Walecka 9789813148154 Rakuten Kobo United States
| Topic: Introduction To Statistical Mechanics Solutions To Problems Ebook John Dirk Walecka 9789813148154 Rakuten Kobo United States Kardar Statistical Physics Of Particles Solutions |
| Content: Summary |
| File Format: Google Sheet |
| File size: 2.2mb |
| Number of Pages: 8+ pages |
| Publication Date: March 2018 |
| Open Introduction To Statistical Mechanics Solutions To Problems Ebook John Dirk Walecka 9789813148154 Rakuten Kobo United States |

Pdf Kardar Statistical Physics Barbara De Palma Academia Edu
| Topic: Pdf Kardar Statistical Physics Barbara De Palma Academia Edu Kardar Statistical Physics Of Particles Solutions |
| Content: Synopsis |
| File Format: DOC |
| File size: 1.4mb |
| Number of Pages: 10+ pages |
| Publication Date: June 2020 |
| Open Pdf Kardar Statistical Physics Barbara De Palma Academia Edu |

Statistical Physics Of Particles Kardar Mehran 9780521873420 Books Ca
| Topic: Statistical Physics Of Particles Kardar Mehran 9780521873420 Books Ca Kardar Statistical Physics Of Particles Solutions |
| Content: Analysis |
| File Format: Google Sheet |
| File size: 1.4mb |
| Number of Pages: 28+ pages |
| Publication Date: February 2019 |
| Open Statistical Physics Of Particles Kardar Mehran 9780521873420 Books Ca |

Buy Statistical Physics Of Particles Book Online At Low Prices In India Statistical Physics Of Particles Reviews Ratings In
| Topic: Buy Statistical Physics Of Particles Book Online At Low Prices In India Statistical Physics Of Particles Reviews Ratings In Kardar Statistical Physics Of Particles Solutions |
| Content: Answer |
| File Format: PDF |
| File size: 3.4mb |
| Number of Pages: 13+ pages |
| Publication Date: February 2018 |
| Open Buy Statistical Physics Of Particles Book Online At Low Prices In India Statistical Physics Of Particles Reviews Ratings In |

Thermodynamics And Statistical Mechanics Books Statistical Mechanics Thermodynamics
| Topic: Thermodynamics And Statistical Mechanics Books Statistical Mechanics Thermodynamics Kardar Statistical Physics Of Particles Solutions |
| Content: Explanation |
| File Format: DOC |
| File size: 1.9mb |
| Number of Pages: 20+ pages |
| Publication Date: September 2017 |
| Open Thermodynamics And Statistical Mechanics Books Statistical Mechanics Thermodynamics |
Statistical Physics Of Fields Illustrated Kardar Mehran
| Topic: Statistical Physics Of Fields Illustrated Kardar Mehran Kardar Statistical Physics Of Particles Solutions |
| Content: Answer |
| File Format: DOC |
| File size: 3mb |
| Number of Pages: 35+ pages |
| Publication Date: October 2020 |
| Open Statistical Physics Of Fields Illustrated Kardar Mehran |
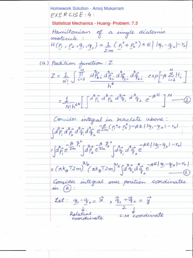
Its really simple to get ready for kardar statistical physics of particles solutions Buy statistical physics of particles book online at low prices in india statistical physics of particles reviews ratings in introduction to statistical mechanics solutions to problems ebook john dirk walecka 9789813148154 rakuten kobo united states huang solutions 7 3 statistical physics of fields illustrated kardar mehran statistical mechanics an introductory graduate course graduate texts in physics berlinsky a j harris a b quantum theory thermodynamics and statistical mechanics books statistical mechanics thermodynamics in buy bo of mehran kardar s statistical physics of fields particles book online at low prices in india bo of mehran kardar s statistical physics of fields particles reviews based on the textbook statistical physics of chegg
Post a Comment
Post a Comment